Официальное опубликование правовых актов
ОФИЦИАЛЬНОЕ ОПУБЛИКОВАНИЕ
Приказ Департамента архитектуры и градостроительства Воронежской области от 27.05.2022 № 45-01-04/522
"О внесении изменений в правила землепользования и застройки Первомайского сельского поселения Подгоренского муниципального района Воронежской области"
(Зарегистрирован 02.06.2022 № 549)
Номер опубликования: 3601202206090002
Дата опубликования: 09.06.2022
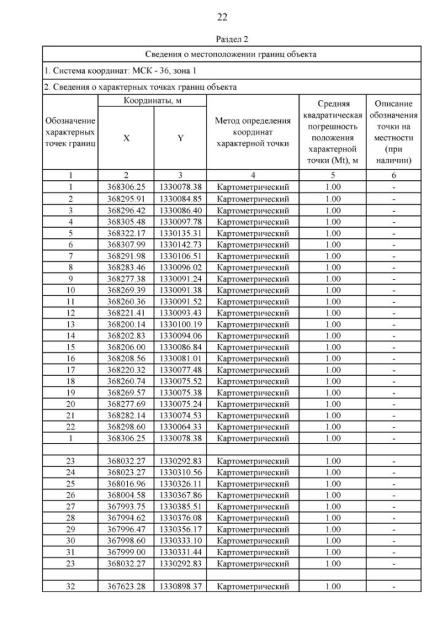
Страница №73 из 146:
Увеличить