Официальное опубликование правовых актов
ОФИЦИАЛЬНОЕ ОПУБЛИКОВАНИЕ
Приказ Департамента архитектуры и градостроительства Воронежской области от 24.05.2022 № 45-01-04/473
"О внесении изменений в правила землепользования и застройки Хлебенского сельского поселения Новоусманского муниципального района Воронежской области"
(Зарегистрирован 02.06.2022 № 552)
Номер опубликования: 3601202206070011
Дата опубликования: 07.06.2022
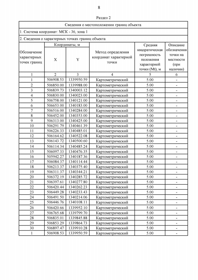
Страница №124 из 144:
Увеличить