Официальное опубликование правовых актов
ОФИЦИАЛЬНОЕ ОПУБЛИКОВАНИЕ
Приказ Департамента архитектуры и градостроительства Воронежской области от 24.05.2022 № 45-01-04/477
"О внесении изменений в правила землепользования и застройки Шукавского сельского поселения Верхнехавского муниципального района Воронежской области"
(Зарегистрирован 02.06.2022 № 551)
Номер опубликования: 3601202206070009
Дата опубликования: 07.06.2022
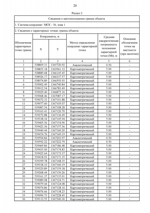
Страница №68 из 149:
Увеличить