Официальное опубликование правовых актов
ОФИЦИАЛЬНОЕ ОПУБЛИКОВАНИЕ
Приказ Департамента архитектуры и градостроительства Воронежской области от 27.05.2022 № 45-01-04/521
"О внесении изменений в правила землепользования и застройки Центральского сельского поселения Новохопёрского муниципального района Воронежской области"
(Зарегистрирован 02.06.2022 № 550)
Номер опубликования: 3601202206070008
Дата опубликования: 07.06.2022
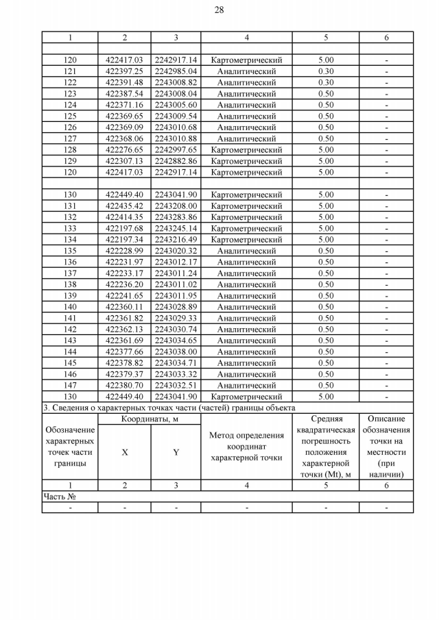
Страница №163 из 180:
Увеличить