Официальное опубликование правовых актов
ОФИЦИАЛЬНОЕ ОПУБЛИКОВАНИЕ
Приказ Департамента архитектуры и градостроительства Воронежской области от 24.05.2022 № 45-01-04/471
"О внесении изменений в правила землепользования и застройки Спасского сельского поселения Верхнехавского муниципального района Воронежской области"
(Зарегистрирован 30.05.2022 № 536)
Номер опубликования: 3601202206030011
Дата опубликования: 03.06.2022
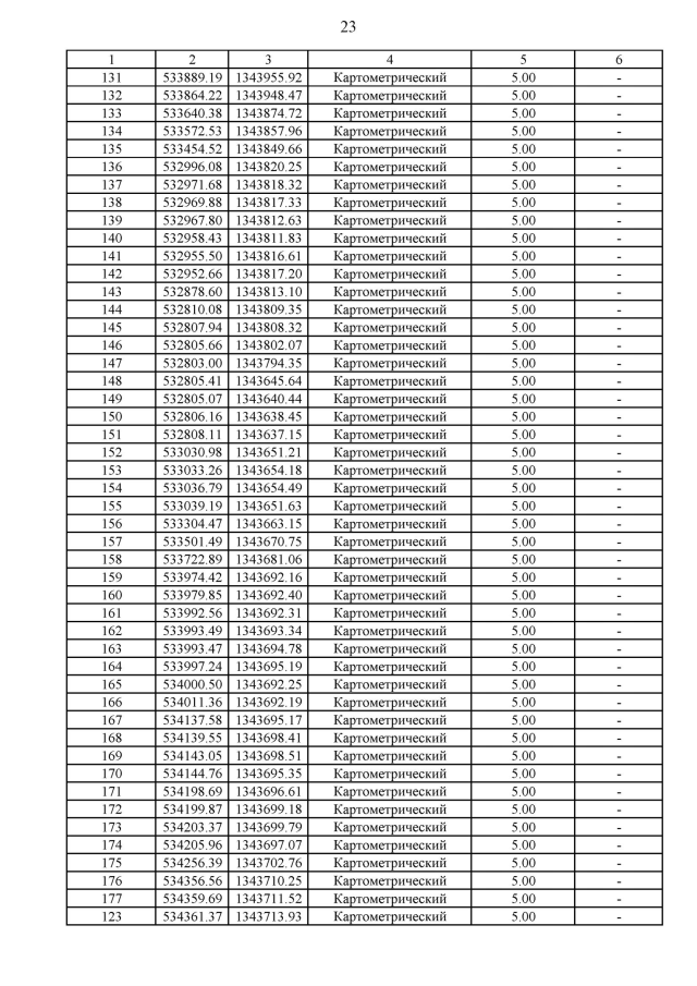
Страница №79 из 225:
Увеличить