Официальное опубликование правовых актов
ОФИЦИАЛЬНОЕ ОПУБЛИКОВАНИЕ
Приказ Департамента архитектуры и градостроительства Воронежской области от 24.05.2022 № 45-01-04/476
"О внесении изменений в правила землепользования и застройки Кондрашкинского сельского поселения Каширского муниципального района Воронежской области"
(Зарегистрирован 30.05.2022 № 534)
Номер опубликования: 3601202206030008
Дата опубликования: 03.06.2022
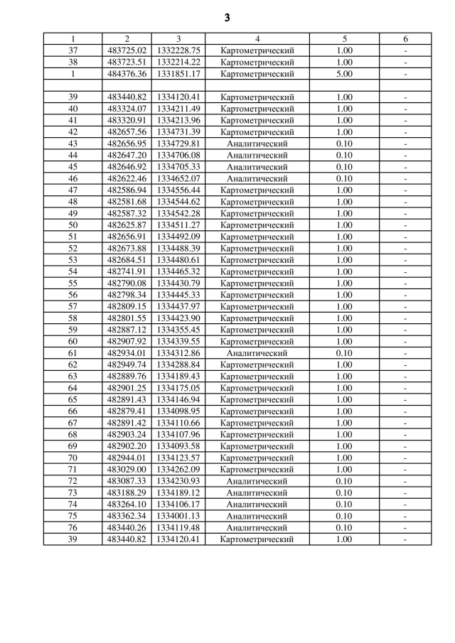
Страница №31 из 76:
Увеличить