Официальное опубликование правовых актов
ОФИЦИАЛЬНОЕ ОПУБЛИКОВАНИЕ
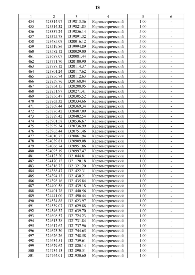
Приказ Департамента архитектуры и градостроительства Воронежской области от 16.05.2022 № 45-01-04/435
"Об утверждении правил землепользования и застройки Воленского сельского поселения Новоусманского муниципального района Воронежской области"
(Зарегистрирован 30.05.2022 № 538)
Номер опубликования: 3601202206030002
Дата опубликования: 03.06.2022
Страница №68 из 155:
Увеличить