Официальное опубликование правовых актов
ОФИЦИАЛЬНОЕ ОПУБЛИКОВАНИЕ
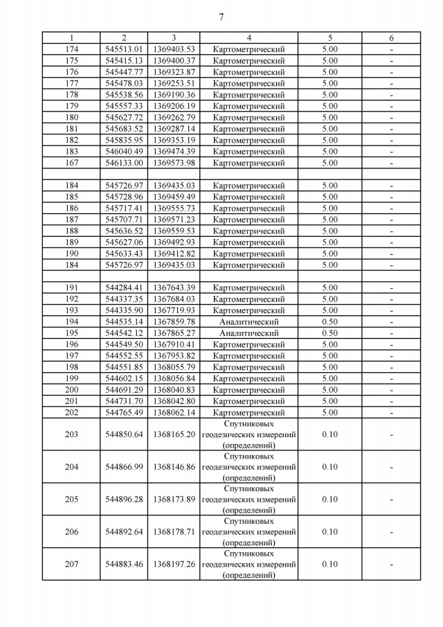
Приказ Департамента архитектуры и градостроительства Воронежской области от 16.05.2022 № 45-01-04/436
"О внесении изменений в правила землепользования и застройки Верхнеплавицкого сельского поселения Верхнехавского муниципального района Воронежской области"
(Зарегистрирован 30.05.2022 № 537)
Номер опубликования: 3601202206030001
Дата опубликования: 03.06.2022
Страница №55 из 120:
Увеличить