Официальное опубликование правовых актов
ОФИЦИАЛЬНОЕ ОПУБЛИКОВАНИЕ
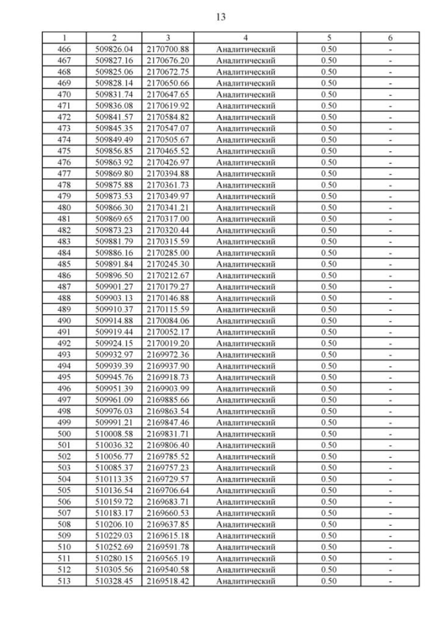
Приказ Департамента архитектуры и градостроительства Воронежской области от 13.05.2022 № 45-01-04/428
"О внесении изменений в правила землепользования и застройки Прогрессовского сельского поселения Панинского муниципального района Воронежской области"
(Зарегистрирован 24.05.2022 № 480)
Номер опубликования: 3601202205270011
Дата опубликования: 27.05.2022
Страница №175 из 199:
Увеличить