Официальное опубликование правовых актов
ОФИЦИАЛЬНОЕ ОПУБЛИКОВАНИЕ
Приказ Департамента архитектуры и градостроительства Воронежской области от 16.05.2022 № 45-01-04/437
"О внесении изменений в правила землепользования и застройки Нижнемамонского 1-го сельского поселения Верхнемамонского муниципального района Воронежской области"
(Зарегистрирован 25.05.2022 № 492)
Номер опубликования: 3601202205270006
Дата опубликования: 27.05.2022
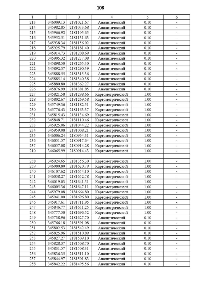
Страница №163 из 243:
Увеличить