Официальное опубликование правовых актов
ОФИЦИАЛЬНОЕ ОПУБЛИКОВАНИЕ
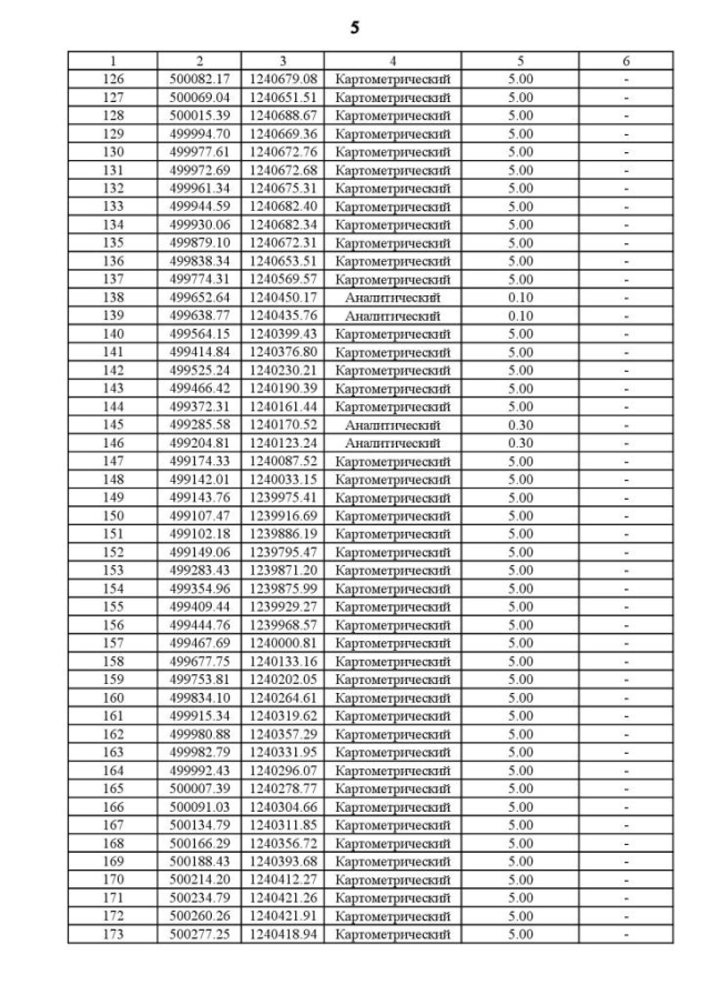
Приказ Департамента архитектуры и градостроительства Воронежской области от 23.05.2022 № 45-01-04/470
"О внесении изменений в правила землепользования и застройки Нижнедевицкого сельского поселения Нижнедевицкого муниципального района Воронежской области"
(Зарегистрирован 25.05.2022 № 491)
Номер опубликования: 3601202205270005
Дата опубликования: 27.05.2022
Страница №13 из 60:
Увеличить