Официальное опубликование правовых актов
ОФИЦИАЛЬНОЕ ОПУБЛИКОВАНИЕ
Приказ Департамента архитектуры и градостроительства Воронежской области от 06.05.2022 № 45-01-04/417
"О внесении изменений в правила землепользования и застройки Шишовского сельского поселения Бобровского муниципального района Воронежской области"
(Зарегистрирован 23.05.2022 № 471)
Номер опубликования: 3601202205270003
Дата опубликования: 27.05.2022
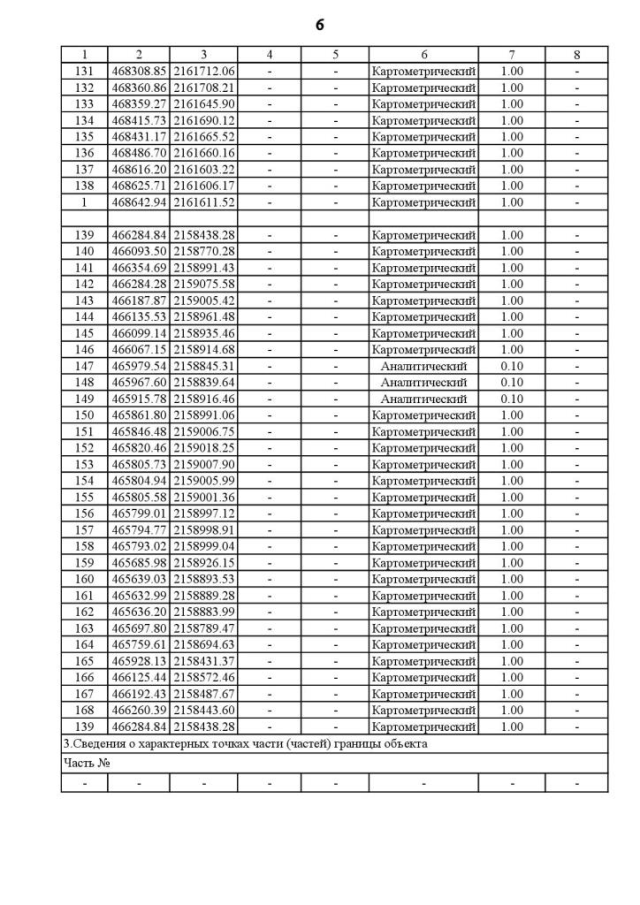
Страница №34 из 40:
Увеличить