Официальное опубликование правовых актов
ОФИЦИАЛЬНОЕ ОПУБЛИКОВАНИЕ
Приказ Департамента архитектуры и градостроительства Воронежской области от 06.05.2022 № 45-01-04/419
"О внесении изменений в правила землепользования и застройки Гвазденского сельского поселения Бутурлиновского муниципального района Воронежской области"
(Зарегистрирован 23.05.2022 № 472)
Номер опубликования: 3601202205270002
Дата опубликования: 27.05.2022
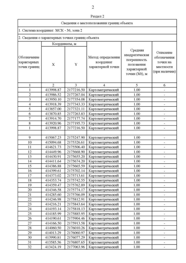
Страница №11 из 70:
Увеличить