Официальное опубликование правовых актов
ОФИЦИАЛЬНОЕ ОПУБЛИКОВАНИЕ
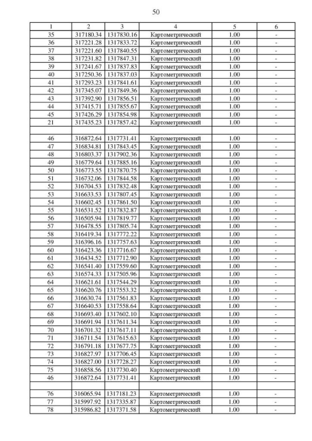
Приказ Департамента архитектуры и градостроительства Воронежской области от 25.04.2022 № 45-01-04/379
"О внесении изменений в правила землепользования и застройки Жилинского сельского поселения Россошанского муниципального района Воронежской области"
(Зарегистрирован 23.05.2022 № 484)
Номер опубликования: 3601202205260001
Дата опубликования: 26.05.2022
Страница №102 из 197:
Увеличить