Официальное опубликование правовых актов
ОФИЦИАЛЬНОЕ ОПУБЛИКОВАНИЕ
Приказ Департамента архитектуры и градостроительства Воронежской области от 06.05.2022 № 45-01-04/416
"О внесении изменений в правила землепользования и застройки Петинского сельского поселения Хохольского муниципального района Воронежской области"
(Зарегистрирован 23.05.2022 № 469)
Номер опубликования: 3601202205250004
Дата опубликования: 25.05.2022
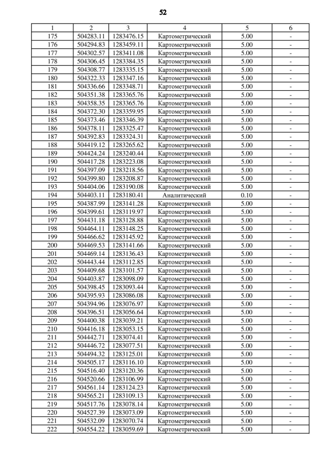
Страница №277 из 288:
Увеличить