Официальное опубликование правовых актов
ОФИЦИАЛЬНОЕ ОПУБЛИКОВАНИЕ
Приказ Департамента архитектуры и градостроительства Воронежской области от 27.04.2022 № 45-01-04/384
"О внесении изменений в правила землепользования и застройки Александровского сельского поселения Верхнехавского муниципального района Воронежской области"
(Зарегистрирован 23.05.2022 № 470)
Номер опубликования: 3601202205250003
Дата опубликования: 25.05.2022
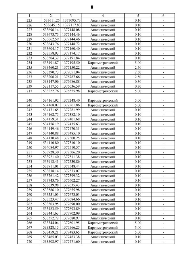
Страница №51 из 123:
Увеличить