Официальное опубликование правовых актов
ОФИЦИАЛЬНОЕ ОПУБЛИКОВАНИЕ
Приказ Департамента архитектуры и градостроительства Воронежской области от 21.04.2022 № 45-01-04/374
"О внесении изменений в правила землепользования и застройки Коршевского сельского поселения Бобровского муниципального района Воронежской области"
(Зарегистрирован 17.05.2022 № 444)
Номер опубликования: 3601202205240014
Дата опубликования: 24.05.2022
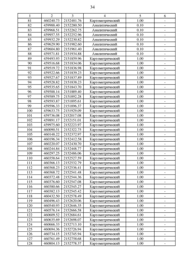
Страница №85 из 140:
Увеличить