Официальное опубликование правовых актов
ОФИЦИАЛЬНОЕ ОПУБЛИКОВАНИЕ
Приказ Департамента архитектуры и градостроительства Воронежской области от 29.04.2022 № 45-01-04/412
"О внесении изменений в правила землепользования и застройки Новогремяченского сельского поселения Хохольского муниципального района Воронежской области"
(Зарегистрирован 17.05.2022 № 450)
Номер опубликования: 3601202205240013
Дата опубликования: 24.05.2022
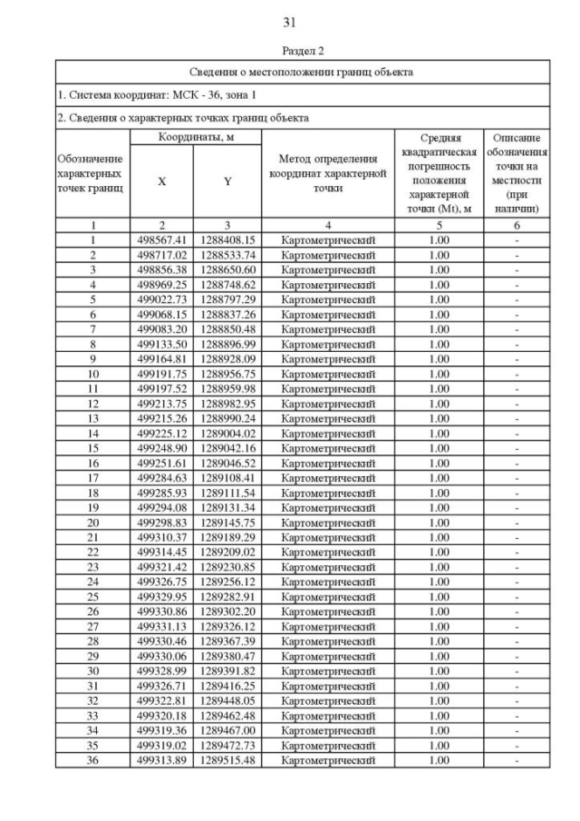
Страница №84 из 132:
Увеличить