Официальное опубликование правовых актов
ОФИЦИАЛЬНОЕ ОПУБЛИКОВАНИЕ
Приказ Департамента архитектуры и градостроительства Воронежской области от 21.04.2022 № 45-01-04/376
"О внесении изменений в правила землепользования и застройки Дерезовского сельского поселения Верхнемамонского муниципального района Воронежской области"
(Зарегистрирован 16.05.2022 № 442)
Номер опубликования: 3601202205240004
Дата опубликования: 24.05.2022
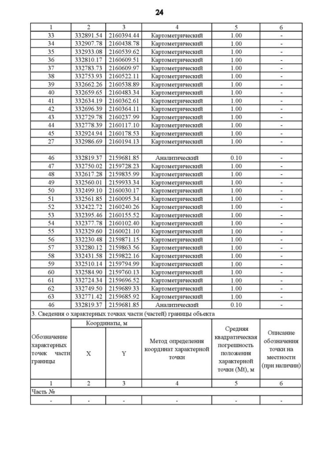
Страница №157 из 210:
Увеличить