Официальное опубликование правовых актов
ОФИЦИАЛЬНОЕ ОПУБЛИКОВАНИЕ
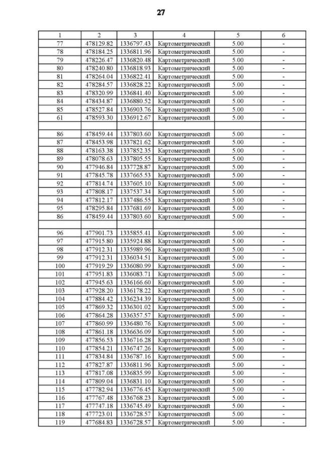
Приказ Департамента архитектуры и градостроительства Воронежской области от 25.04.2022 № 45-01-04/380
"О внесении изменений в правила землепользования и застройки Запрудского сельского поселения Каширского муниципального района Воронежской области"
(Зарегистрирован 17.05.2022 № 447)
Номер опубликования: 3601202205240003
Дата опубликования: 24.05.2022
Страница №76 из 100:
Увеличить