Официальное опубликование правовых актов
ОФИЦИАЛЬНОЕ ОПУБЛИКОВАНИЕ
Приказ Департамента архитектуры и градостроительства Воронежской области от 25.04.2022 № 45-01-04/378
"О внесении изменений в правила землепользования и застройки Верхнелуговатского сельского поселения Верхнехавского муниципального района Воронежской области"
(Зарегистрирован 17.05.2022 № 446)
Номер опубликования: 3601202205240002
Дата опубликования: 24.05.2022
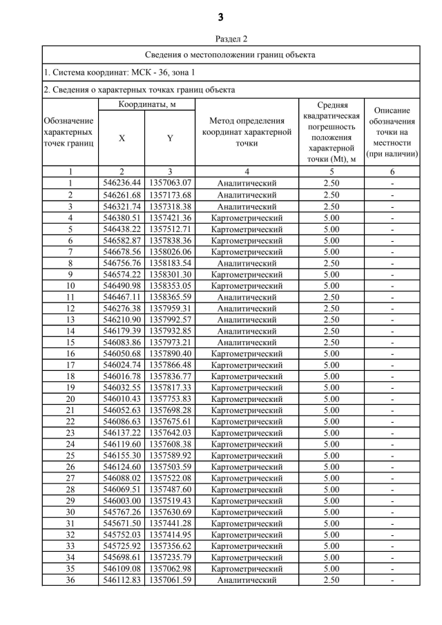
Страница №75 из 95:
Увеличить