Официальное опубликование правовых актов
ОФИЦИАЛЬНОЕ ОПУБЛИКОВАНИЕ
Приказ Департамента архитектуры и градостроительства Воронежской области от 29.04.2022 № 45-01-04/411
"О внесении изменений в правила землепользования и застройки Семёновского сельского поселения Верхнехавского муниципального района Воронежской области"
(Зарегистрирован 12.05.2022 № 432)
Номер опубликования: 3601202205200013
Дата опубликования: 20.05.2022
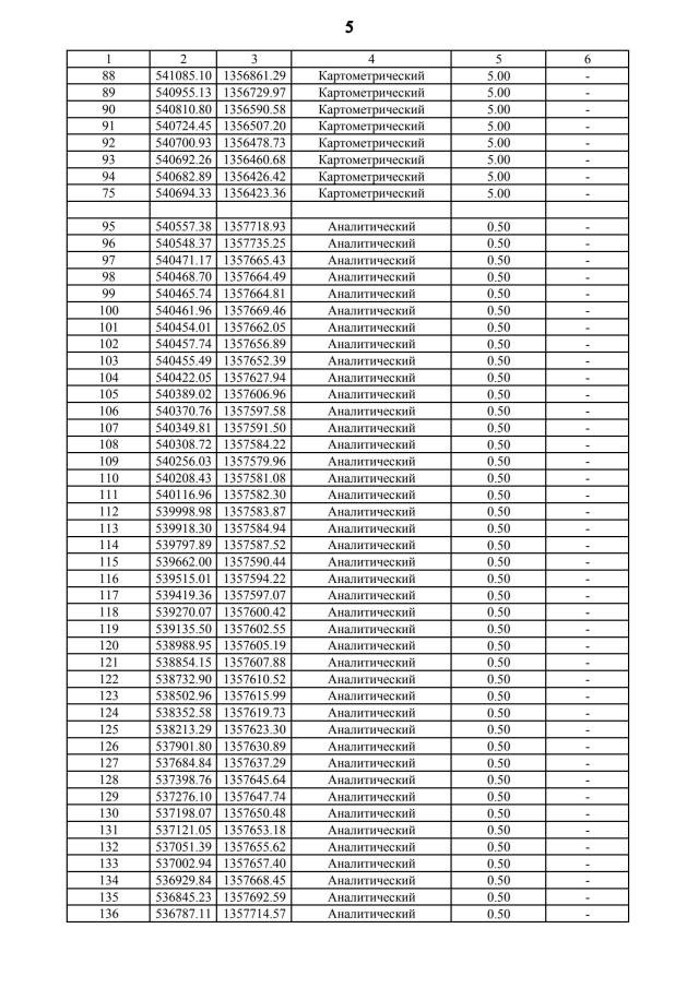
Страница №117 из 126:
Увеличить