Официальное опубликование правовых актов
ОФИЦИАЛЬНОЕ ОПУБЛИКОВАНИЕ
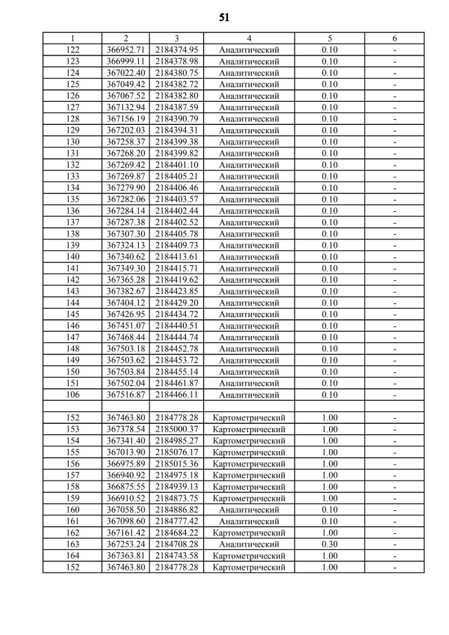
Приказ Департамента архитектуры и градостроительства Воронежской области от 29.04.2022 № 45-01-04/413
"О внесении изменений в правила землепользования и застройки Русско-Журавского сельского поселения Верхнемамонского муниципального района Воронежской области"
(Зарегистрирован 12.05.2022 № 429)
Номер опубликования: 3601202205200011
Дата опубликования: 20.05.2022
Страница №99 из 136:
Увеличить