Официальное опубликование правовых актов
ОФИЦИАЛЬНОЕ ОПУБЛИКОВАНИЕ
Приказ Департамента архитектуры и градостроительства Воронежской области от 21.04.2022 № 45-01-04/375
"О внесении изменений в правила землепользования и застройки Архиповского сельского поселения Россошанского муниципального района Воронежской области"
(Зарегистрирован 13.05.2022 № 438)
Номер опубликования: 3601202205200010
Дата опубликования: 20.05.2022
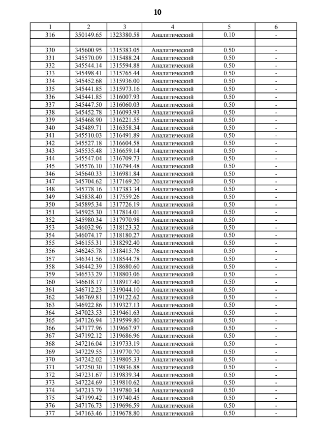
Страница №128 из 150:
Увеличить