Официальное опубликование правовых актов
ОФИЦИАЛЬНОЕ ОПУБЛИКОВАНИЕ
Приказ Департамента архитектуры и градостроительства Воронежской области от 15.04.2022 № 45-01-04/323
"О внесении изменений в правила землепользования и застройки Нижнеикорецкого сельского поселения Лискинского муниципального района Воронежской области"
(Зарегистрирован 12.05.2022 № 428)
Номер опубликования: 3601202205200006
Дата опубликования: 20.05.2022
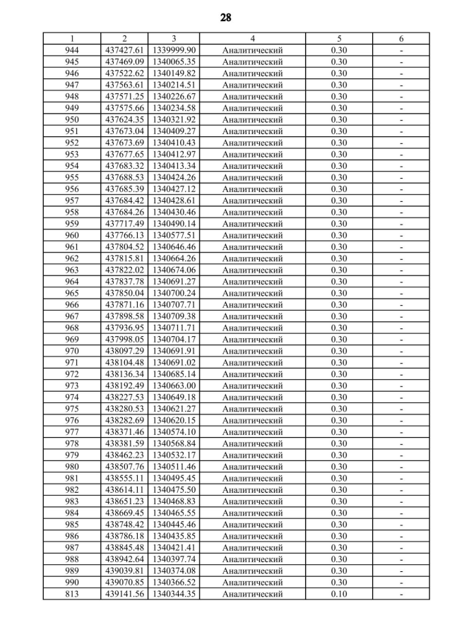
Страница №185 из 232:
Увеличить