Официальное опубликование правовых актов
ОФИЦИАЛЬНОЕ ОПУБЛИКОВАНИЕ
Приказ Департамента архитектуры и градостроительства Воронежской области от 19.04.2022 № 45-01-04/347
"Об утверждении правил землепользования и застройки Дегтяренского сельского поселения Каменского муниципального района Воронежской области"
(Зарегистрирован 13.05.2022 № 441)
Номер опубликования: 3601202205200003
Дата опубликования: 20.05.2022
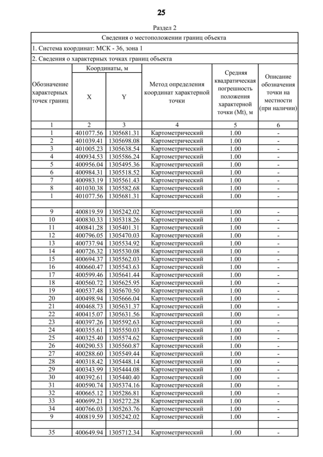
Страница №77 из 204:
Увеличить