Официальное опубликование правовых актов
ОФИЦИАЛЬНОЕ ОПУБЛИКОВАНИЕ
Приказ Департамента архитектуры и градостроительства Воронежской области от 14.04.2022 № 45-01-04/318
"О внесении изменений в правила землепользования и застройки Мосальского сельского поселения Каширского муниципального района Воронежской области"
(Зарегистрирован 27.04.2022 № 391)
Номер опубликования: 3601202205060012
Дата опубликования: 06.05.2022
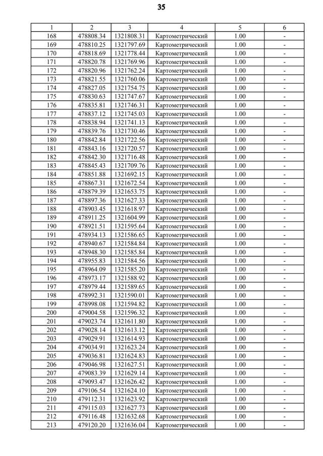
Страница №84 из 127:
Увеличить