Официальное опубликование правовых актов
ОФИЦИАЛЬНОЕ ОПУБЛИКОВАНИЕ
Приказ Департамента архитектуры и градостроительства Воронежской области от 15.04.2022 № 45-01-04/322
"О внесении изменений в правила землепользования и застройки Почепского сельского поселения Лискинского муниципального района Воронежской области"
(Зарегистрирован 29.04.2022 № 405)
Номер опубликования: 3601202205060009
Дата опубликования: 06.05.2022
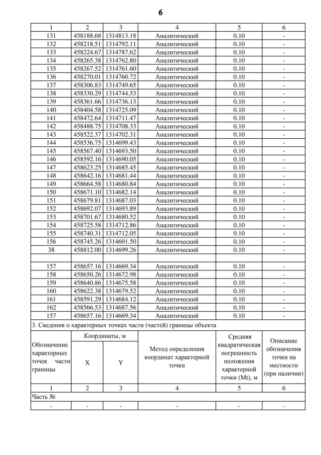
Страница №166 из 210:
Увеличить