Официальное опубликование правовых актов
ОФИЦИАЛЬНОЕ ОПУБЛИКОВАНИЕ
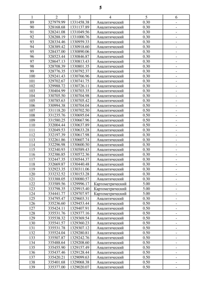
Приказ Департамента архитектуры и градостроительства Воронежской области от 19.04.2022 № 45-01-04/348
"Об утверждении правил землепользования и застройки Копёнкинского сельского поселения Россошанского муниципального района Воронежской области"
(Зарегистрирован 29.04.2022 № 404)
Номер опубликования: 3601202205060008
Дата опубликования: 06.05.2022
Страница №158 из 181:
Увеличить