Официальное опубликование правовых актов
ОФИЦИАЛЬНОЕ ОПУБЛИКОВАНИЕ
Приказ Департамента архитектуры и градостроительства Воронежской области от 12.04.2022 № 45-01-04/314
"О внесении изменений в правила землепользования и застройки Бодеевского сельского поселения Лискинского муниципального района Воронежской области"
(Зарегистрирован 29.04.2022 № 407)
Номер опубликования: 3601202205060005
Дата опубликования: 06.05.2022
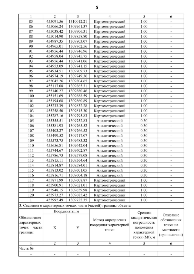
Страница №89 из 152:
Увеличить