Официальное опубликование правовых актов
ОФИЦИАЛЬНОЕ ОПУБЛИКОВАНИЕ
Приказ Департамента архитектуры и градостроительства Воронежской области от 13.04.2022 № 45-01-04/317
"О внесении изменений в правила землепользования и застройки Русско-Буйловского сельского поселения Павловского муниципального района Воронежской области"
(Зарегистрирован 29.04.2022 № 408)
Номер опубликования: 3601202205060004
Дата опубликования: 06.05.2022
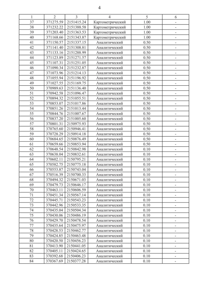
Страница №59 из 231:
Увеличить