Официальное опубликование правовых актов
ОФИЦИАЛЬНОЕ ОПУБЛИКОВАНИЕ
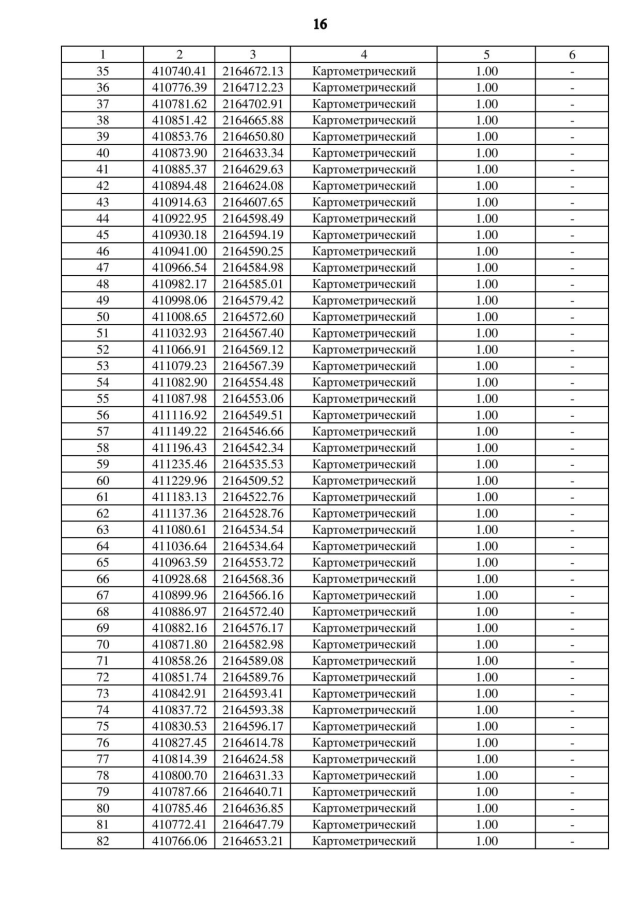
Приказ Департамента архитектуры и градостроительства Воронежской области от 13.04.2022 № 45-01-04/316
"О внесении изменений в правила землепользования и застройки Ливенского сельского поселения Павловского муниципального района Воронежской области"
(Зарегистрирован 27.04.2022 № 390)
Номер опубликования: 3601202205060003
Дата опубликования: 06.05.2022
Страница №115 из 130:
Увеличить