Официальное опубликование правовых актов
ОФИЦИАЛЬНОЕ ОПУБЛИКОВАНИЕ
Приказ Департамента архитектуры и градостроительства Воронежской области от 08.04.2022 № 45-01-04/307
"О внесении изменений в правила землепользования и застройки Новохарьковского сельского поселения Ольховатского муниципального района Воронежской области"
(Зарегистрирован 25.04.2022 № 364)
Номер опубликования: 3601202204290004
Дата опубликования: 29.04.2022
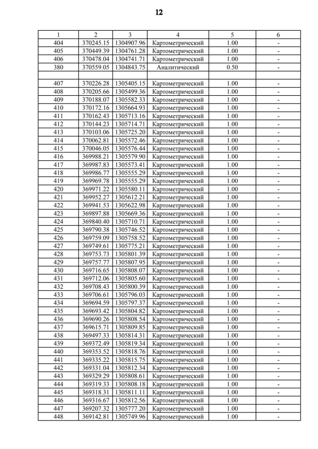
Страница №61 из 154:
Увеличить