Официальное опубликование правовых актов
ОФИЦИАЛЬНОЕ ОПУБЛИКОВАНИЕ
Приказ Департамента архитектуры и градостроительства Воронежской области от 07.04.2022 № 45-01-04/304
"О внесении изменений в правила землепользования и застройки Октябрьского сельского поселения Панинского муниципального района Воронежской области"
(Зарегистрирован 20.04.2022 № 351)
Номер опубликования: 3601202204270010
Дата опубликования: 27.04.2022
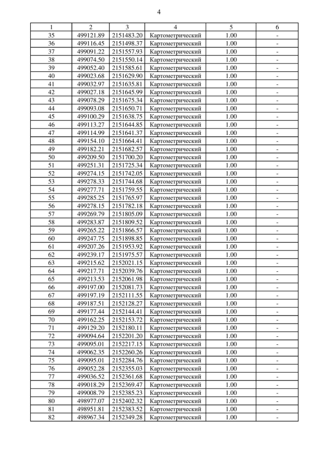
Страница №61 из 448:
Увеличить