Официальное опубликование правовых актов
ОФИЦИАЛЬНОЕ ОПУБЛИКОВАНИЕ
Приказ Департамента архитектуры и градостроительства Воронежской области от 31.03.2022 № 45-01-04/280
"Об утверждении правил землепользования и застройки Берёзовского сельского поселения Бутурлиновского муниципального района Воронежской области"
(Зарегистрирован 14.04.2022 № 326)
Номер опубликования: 3601202204220012
Дата опубликования: 22.04.2022
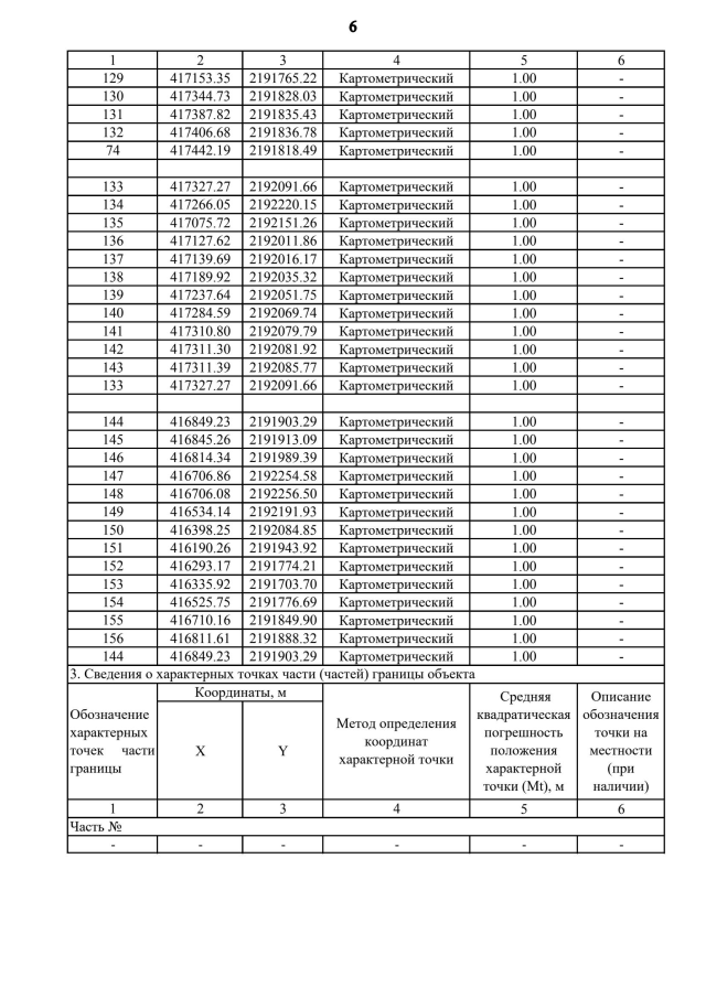
Страница №67 из 267:
Увеличить