Официальное опубликование правовых актов
ОФИЦИАЛЬНОЕ ОПУБЛИКОВАНИЕ
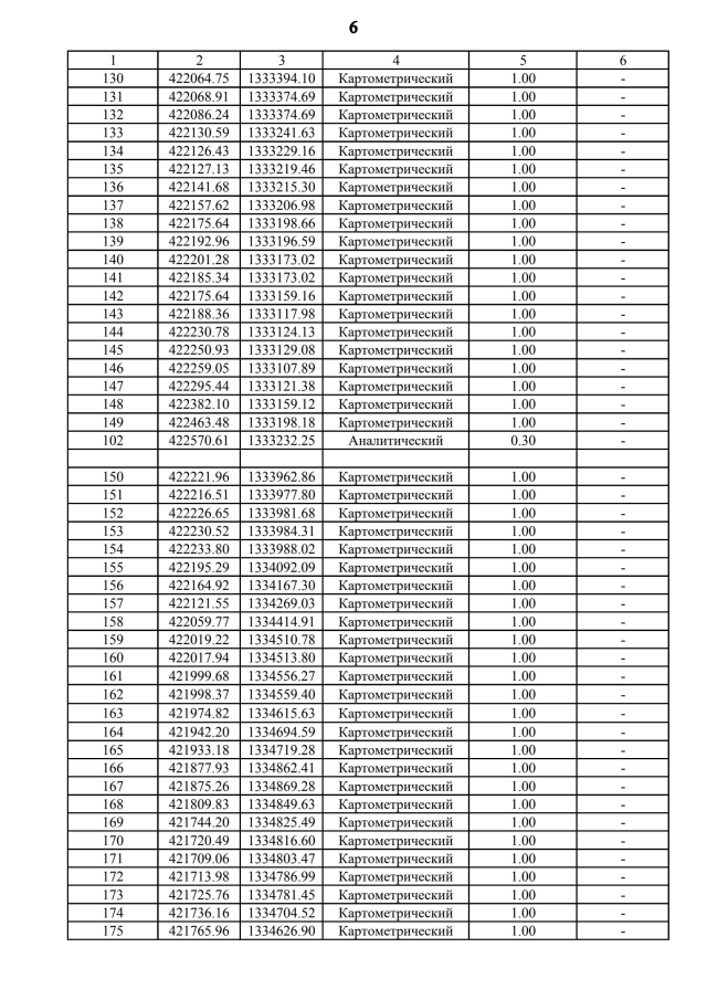
Приказ Департамента архитектуры и градостроительства Воронежской области от 30.03.2022 № 45-01-04/273
"О внесении изменений в правила землепользования и застройки Петровского сельского поселения Лискинского муниципального района Воронежской области"
(Зарегистрирован 08.04.2022 № 296)
Номер опубликования: 3601202204150010
Дата опубликования: 15.04.2022
Страница №96 из 180:
Увеличить