Официальное опубликование правовых актов
ОФИЦИАЛЬНОЕ ОПУБЛИКОВАНИЕ
Приказ Департамента архитектуры и градостроительства Воронежской области от 25.03.2022 № 45-01-04/257
"Об утверждении правил землепользования и застройки Марковского сельского поселения Каменского муниципального района Воронежской области"
(Зарегистрирован 08.04.2022 № 305)
Номер опубликования: 3601202204150007
Дата опубликования: 15.04.2022
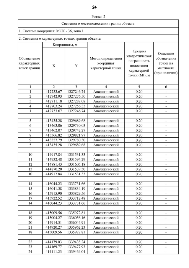
Страница №228 из 237:
Увеличить