Официальное опубликование правовых актов
ОФИЦИАЛЬНОЕ ОПУБЛИКОВАНИЕ
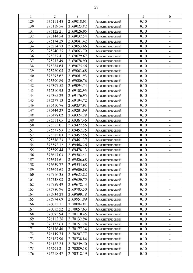
Приказ Департамента архитектуры и градостроительства Воронежской области от 24.03.2022 № 45-01-04/238
"О внесении изменений в правила землепользования и застройки Гаврильского сельского поселения Павловского муниципального района Воронежской области"
(Зарегистрирован 08.04.2022 № 303)
Номер опубликования: 3601202204150003
Дата опубликования: 15.04.2022
Страница №78 из 229:
Увеличить