Официальное опубликование правовых актов
ОФИЦИАЛЬНОЕ ОПУБЛИКОВАНИЕ
Приказ Департамента архитектуры и градостроительства Воронежской области от 21.03.2022 № 45-01-04/223
"О внесении изменений в правила землепользования и застройки Воронежского сельского поселения Новоусманского муниципального района Воронежской области"
(Зарегистрирован 22.03.2022 № 201)
Номер опубликования: 3601202203290001
Дата опубликования: 29.03.2022
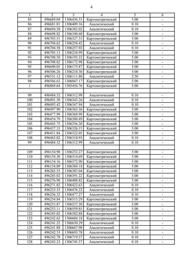
Страница №10 из 20:
Увеличить