Официальное опубликование правовых актов
ОФИЦИАЛЬНОЕ ОПУБЛИКОВАНИЕ
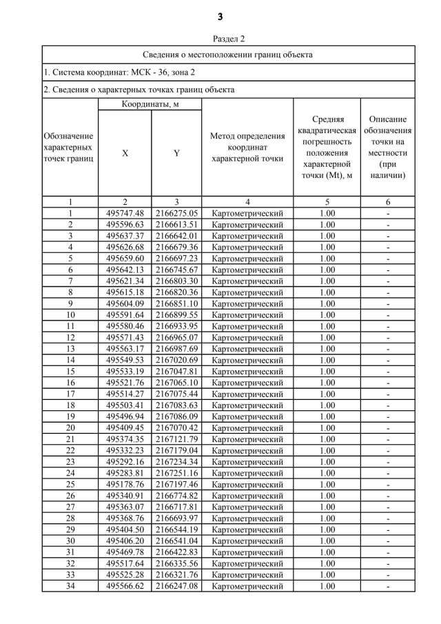
Приказ Департамента архитектуры и градостроительства Воронежской области от 10.02.2022 № 45-01-04/107
"О внесении изменений в правила землепользования и застройки Васильевского сельского поселения Аннинского муниципального района Воронежской области"
(Зарегистрирован 22.02.2022 № 130)
Номер опубликования: 3601202203010001
Дата опубликования: 01.03.2022
Страница №143 из 199:
Увеличить