Официальное опубликование правовых актов
ОФИЦИАЛЬНОЕ ОПУБЛИКОВАНИЕ
Приказ Департамента архитектуры и градостроительства Воронежской области от 04.02.2022 № 45-01-04/98
"О внесении изменений в правила землепользования и застройки Бродовского сельского поселения Аннинского муниципального района Воронежской области"
(Зарегистрирован 10.02.2022 № 84)
Номер опубликования: 3601202202180006
Дата опубликования: 18.02.2022
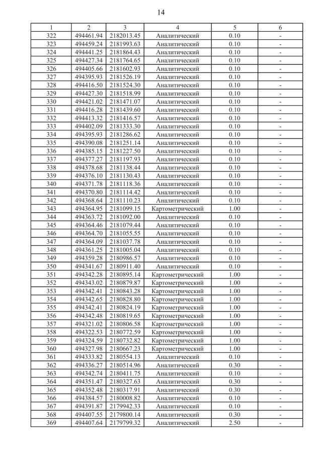
Страница №108 из 121:
Увеличить