Официальное опубликование правовых актов
ОФИЦИАЛЬНОЕ ОПУБЛИКОВАНИЕ
Приказ Департамента архитектуры и градостроительства Воронежской области от 01.02.2022 № 45-01-04/82
"О внесении изменений в правила землепользования и застройки Ковалёвского сельского поселения Лискинского муниципального района Воронежской области"
(Зарегистрирован 10.02.2022 № 83)
Номер опубликования: 3601202202180001
Дата опубликования: 18.02.2022
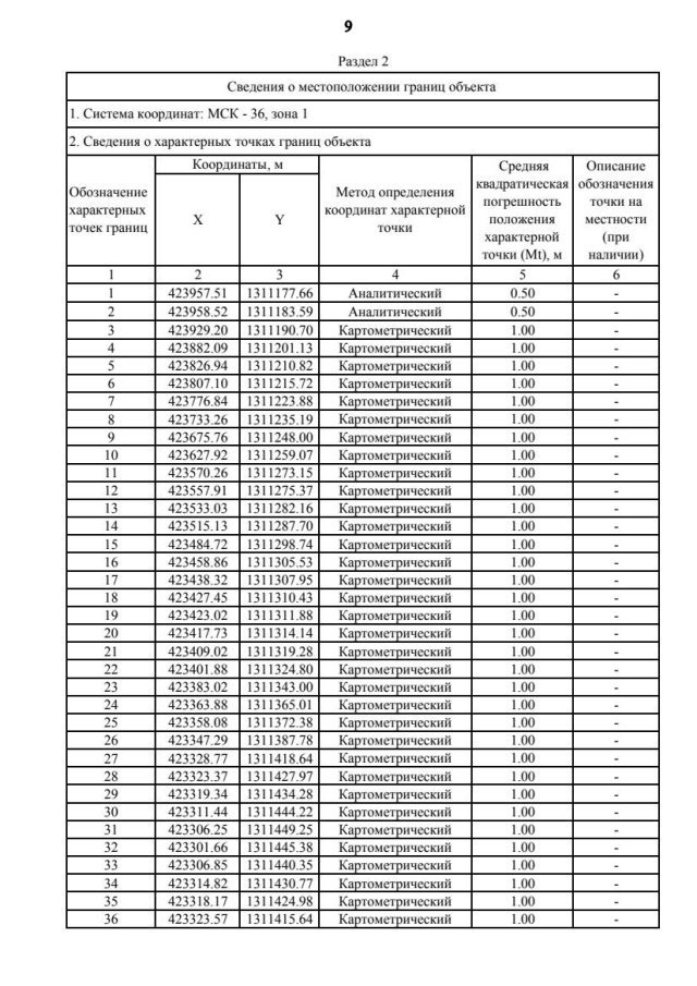
Страница №101 из 286:
Увеличить