Официальное опубликование правовых актов
ОФИЦИАЛЬНОЕ ОПУБЛИКОВАНИЕ
Приказ Департамента архитектуры и градостроительства Воронежской области от 31.01.2022 № 45-01-04/72
"О внесении изменений в правила землепользования и застройки Алейниковского сельского поселения Россошанского муниципального района Воронежской области"
(Зарегистрирован 07.02.2022 № 70)
Номер опубликования: 3601202202150002
Дата опубликования: 15.02.2022
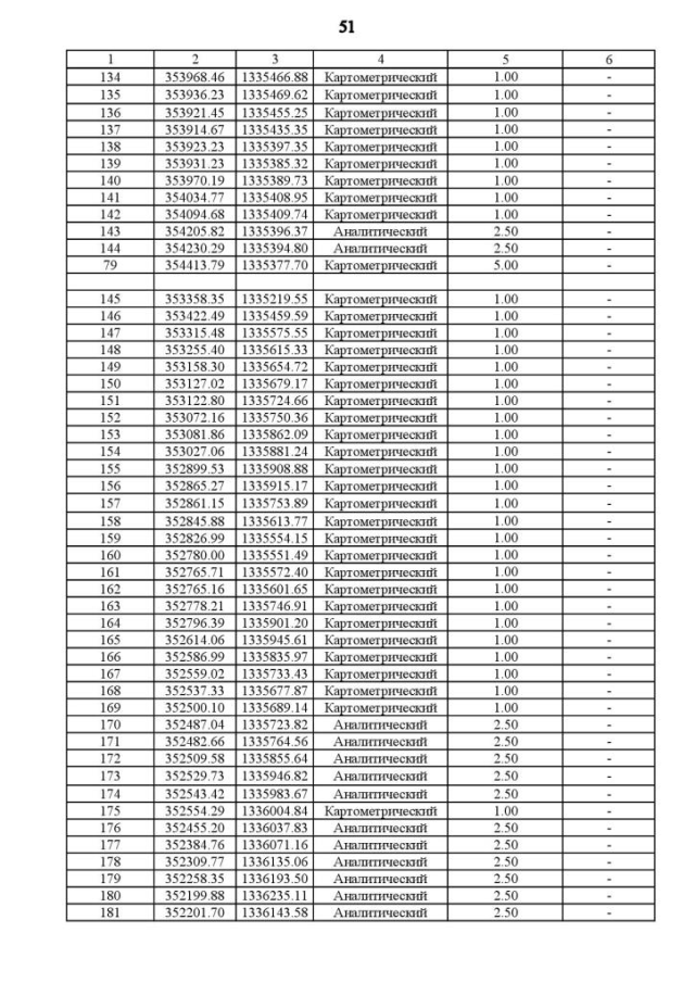
Страница №344 из 347:
Увеличить