Официальное опубликование правовых актов
ОФИЦИАЛЬНОЕ ОПУБЛИКОВАНИЕ
Приказ Департамента архитектуры и градостроительства Воронежской области от 31.01.2022 № 45-01-04/71
"О внесении изменений в правила землепользования и застройки Сериковского сельского поселения Бутурлиновского муниципального района Воронежской области"
(Зарегистрирован 07.02.2022 № 68)
Номер опубликования: 3601202202150001
Дата опубликования: 15.02.2022
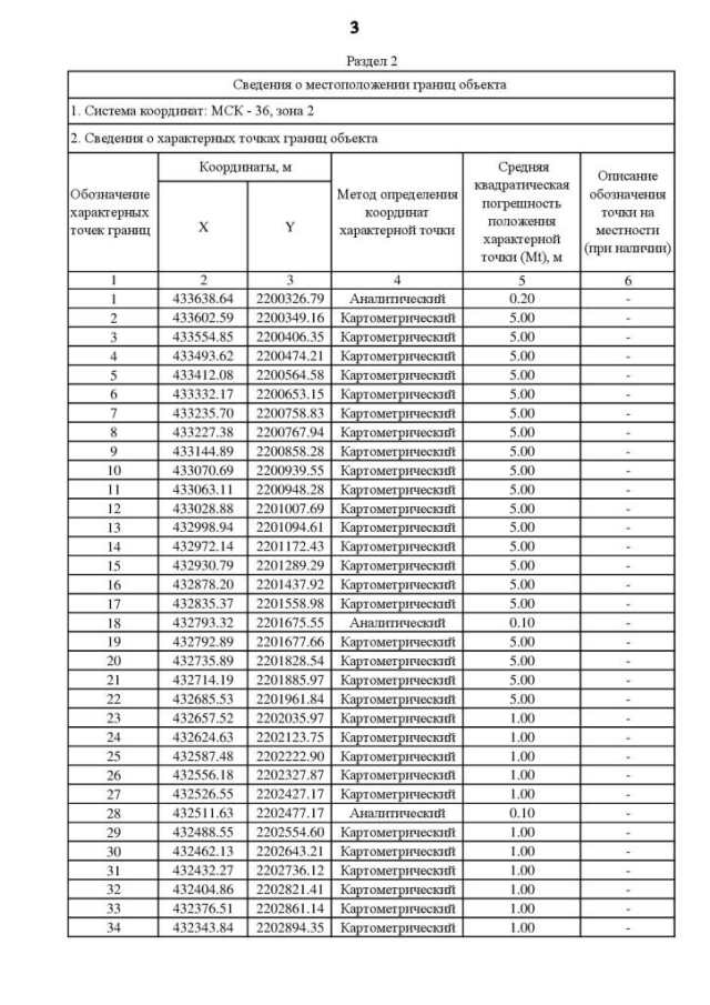
Страница №141 из 163:
Увеличить