Официальное опубликование правовых актов
ОФИЦИАЛЬНОЕ ОПУБЛИКОВАНИЕ
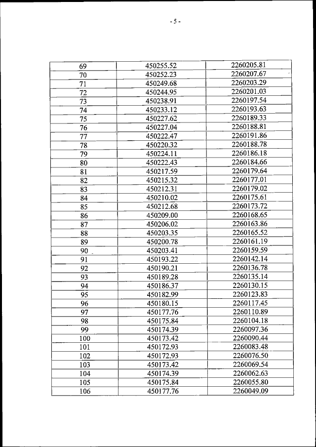
Приказ управления по охране объектов культурного наследия Воронежской области от 28.01.2022 № 71-01-07/59
"О внесении изменения в приказ управления по охране объектов культурного наследия Воронежской области от 12.11.2019 № 71-01-07/286"
(Зарегистрирован 09.02.2022 № 82)
Номер опубликования: 3601202202140002
Дата опубликования: 14.02.2022
Страница №5 из 7:
Увеличить