Официальное опубликование правовых актов
ОФИЦИАЛЬНОЕ ОПУБЛИКОВАНИЕ
Приказ Департамента архитектуры и градостроительства Воронежской области от 24.01.2022 № 45-01-04/51
"О внесении изменений в правила землепользования и застройки Караяшниковского сельского поселения Ольховатского муниципального района Воронежской области"
(Зарегистрирован 07.02.2022 № 71)
Номер опубликования: 3601202202100003
Дата опубликования: 10.02.2022
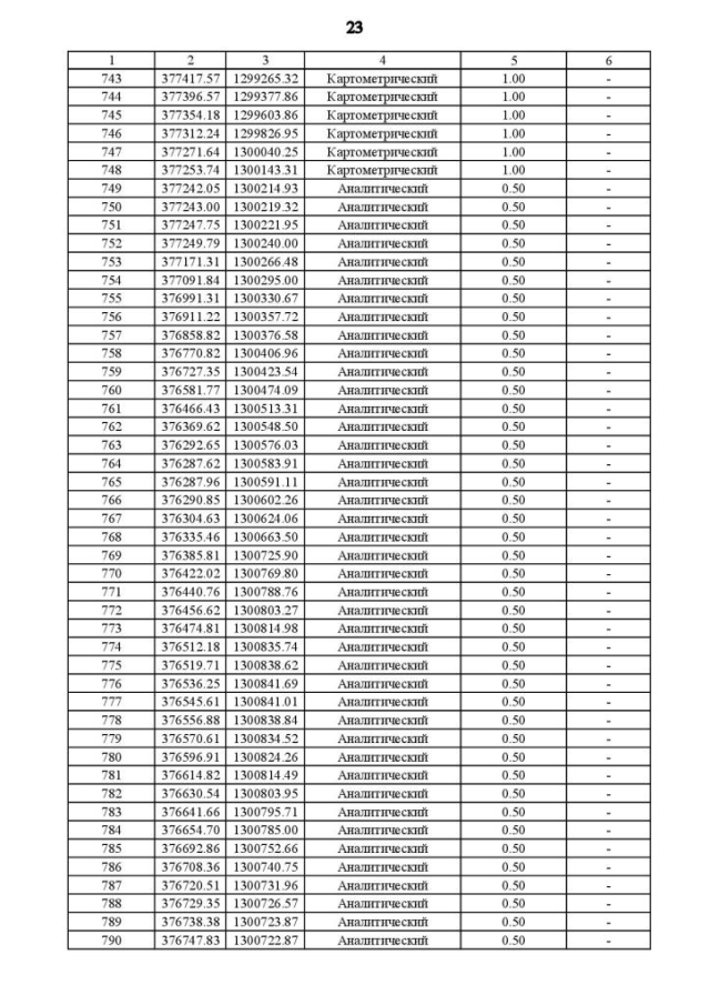
Страница №330 из 363:
Увеличить