Официальное опубликование правовых актов
ОФИЦИАЛЬНОЕ ОПУБЛИКОВАНИЕ
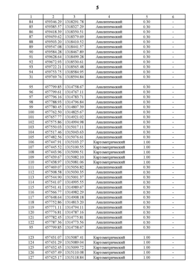
Приказ Департамента архитектуры и градостроительства Воронежской области от 24.01.2022 № 45-01-04/50
"О внесении изменений в правила землепользования и застройки Давыдовского городского поселения Лискинского муниципального района Воронежской области"
(Зарегистрирован 07.02.2022 № 73)
Номер опубликования: 3601202202100002
Дата опубликования: 10.02.2022
Страница №158 из 169:
Увеличить