Официальное опубликование правовых актов
ОФИЦИАЛЬНОЕ ОПУБЛИКОВАНИЕ
Приказ Департамента архитектуры и градостроительства Воронежской области от 18.01.2022 № 45-01-04/11
"Об утверждении правил землепользования и застройки городского округа город Нововоронеж Воронежской области"
(Зарегистрирован 07.02.2022 № 72)
Номер опубликования: 3601202202090008
Дата опубликования: 09.02.2022
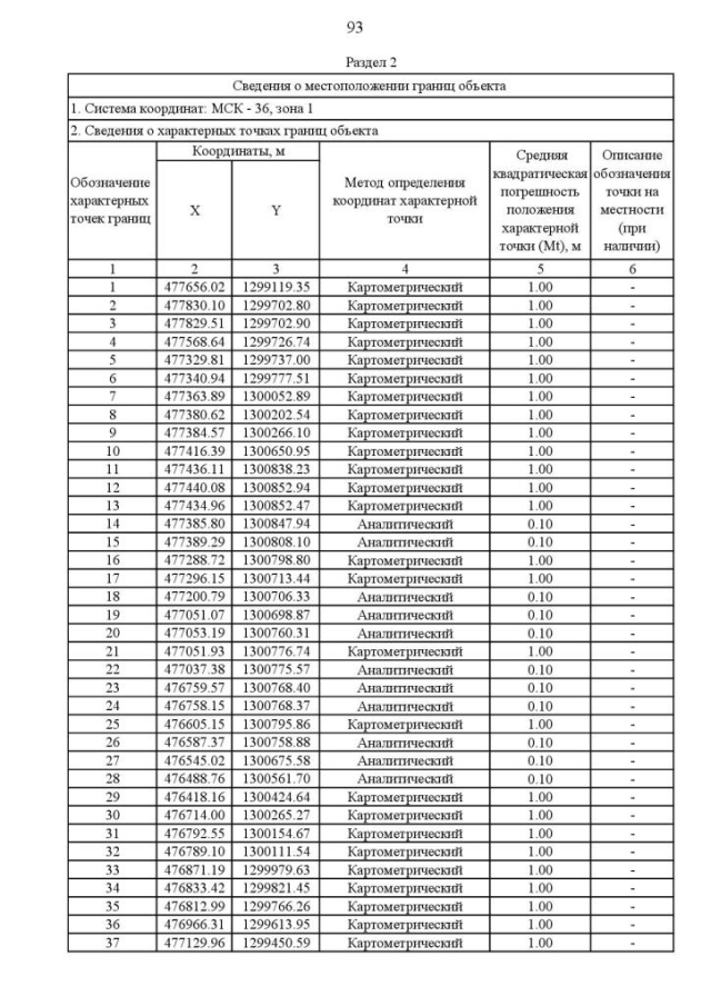
Страница №179 из 500:
Увеличить