Официальное опубликование правовых актов
ОФИЦИАЛЬНОЕ ОПУБЛИКОВАНИЕ
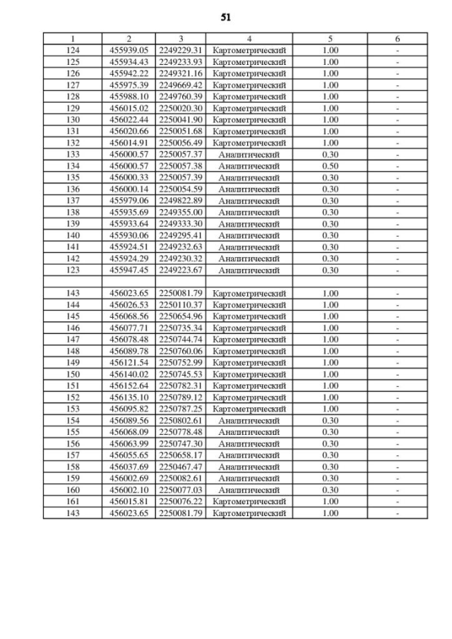
Приказ Департамента архитектуры и градостроительства Воронежской области от 27.01.2022 № 45-01-04/55
"Об утверждении правил землепользования и застройки Краснянского сельского поселения Новохопёрского муниципального района Воронежской области"
(Зарегистрирован 04.02.2022 № 55)
Номер опубликования: 3601202202090005
Дата опубликования: 09.02.2022
Страница №111 из 255:
Увеличить