Официальное опубликование правовых актов
ОФИЦИАЛЬНОЕ ОПУБЛИКОВАНИЕ
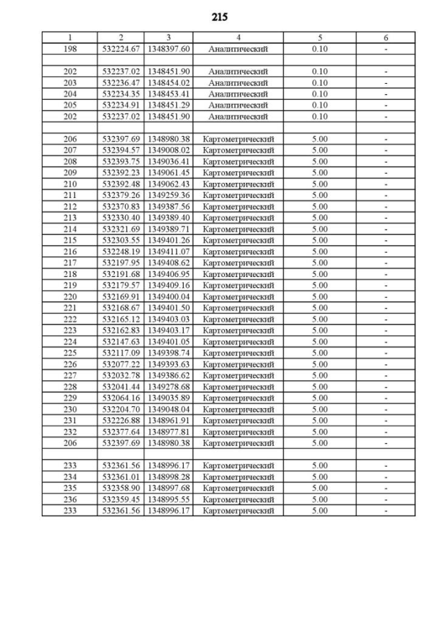
Приказ Департамента архитектуры и градостроительства Воронежской области от 18.01.2022 № 45-01-04/12
"О внесении изменений в правила землепользования и застройки Верхнехавского сельского поселения Верхнехавского муниципального района Воронежской области"
(Зарегистрирован 04.02.2022 № 56)
Номер опубликования: 3601202202090002
Дата опубликования: 09.02.2022
Страница №279 из 450:
Увеличить